Derivada De Raiz De

A diferenciação de funções que envolvem radicais, conhecida como "derivada de raiz de", constitui um tópico fundamental no cálculo diferencial. Sua relevância reside na sua aplicação em diversas áreas, desde a física e engenharia até a economia e estatística, onde modelos matemáticos frequentemente incorporam expressões radicais. A compreensão da derivada de raiz de é crucial para a otimização de funções, análise de taxas de variação e modelagem de fenômenos naturais e artificiais.

Derivada De Raiz De

Derivada de una raíz | Ejercicios resueltos - Yo Soy Tu Profe

Fundamentos Teóricos da Derivação de Raízes

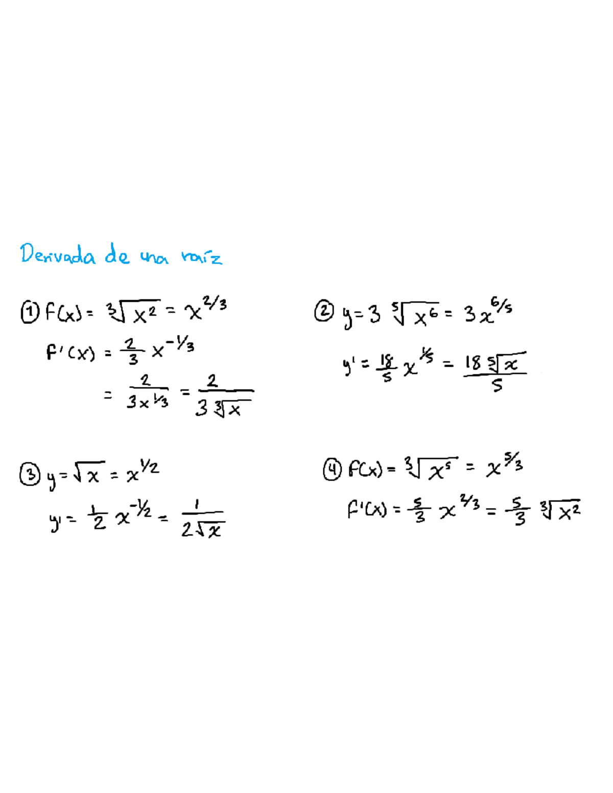
A derivação de funções radicais fundamenta-se na regra da potência e na regra da cadeia. Uma função radical, expressa geralmente como f(x) = √x, pode ser reescrita como f(x) = x1/2. A aplicação da regra da potência implica que a derivada de xn é n x(n-1). Portanto, a derivada de x1/2 é (1/2)x(-1/2), que pode ser simplificada para 1/(2√x). Para funções radicais mais complexas, como √(g(x)), a regra da cadeia é essencial, resultando em (g'(x))/(2√(g(x))), onde g'(x) representa a derivada da função interna g(x).

Aplicações Práticas em Problemas de Otimização

A derivada de raiz de encontra aplicação prática em problemas de otimização, nos quais se busca determinar o valor máximo ou mínimo de uma função. Por exemplo, considere o problema de encontrar as dimensões de um retângulo com área fixa que minimize seu perímetro. A solução frequentemente envolve expressar o perímetro em função de uma única variável, resultando em uma equação que contém radicais. A derivação dessa função radical permite identificar os pontos críticos, que correspondem aos valores máximos ou mínimos do perímetro. A análise desses pontos críticos, através da segunda derivada ou testes de sinal, permite determinar as dimensões ótimas do retângulo.

Derivadas de Raízes em Modelagem Física

Em física, a derivada de raiz de é frequentemente utilizada na modelagem de fenômenos que envolvem a velocidade ou a aceleração de um objeto. Por exemplo, a velocidade de um objeto em queda livre sob a ação da gravidade pode ser expressa como uma função radical do tempo. A derivação dessa função em relação ao tempo fornece a aceleração do objeto. Da mesma forma, em problemas de mecânica dos fluidos, a velocidade de um fluido em um tubo pode ser modelada por uma função radical da distância do centro do tubo. A derivada dessa função permite calcular o gradiente de velocidade, que é uma medida da variação da velocidade do fluido em função da distância.

For more information, click the button below.

Derivada de una raíz | Ejemplo 2 - YouTube

Derivada Raiz De X

Derivada de una raíz - Cálculo Diferencial E Integral - Derivada de na ...

DERIVADA de la Función Raíz Cuadrada- Derivación con Fórmulas. Cálculo ...

-

Generalização para Funções Radicais Complexas

A técnica de derivação de raízes pode ser generalizada para funções radicais mais complexas, que envolvem raízes de índice superior ou expressões mais elaboradas dentro da raiz. Nesses casos, a regra da cadeia desempenha um papel ainda mais crucial. É fundamental identificar a função interna e aplicar a regra da cadeia iterativamente, se necessário. Além disso, a simplificação algébrica da derivada resultante pode ser essencial para facilitar a análise e interpretação dos resultados.

A regra da cadeia é essencial porque permite derivar funções radicais onde a expressão dentro da raiz é, por si só, uma função de x. Sem a regra da cadeia, seria impossível determinar a taxa de variação da função radical em relação a x, considerando a influência da função interna.

A derivada de raiz de representa a taxa de variação instantânea da função radical em relação à variável independente. Ela indica como a função radical muda em resposta a pequenas variações na variável independente, fornecendo informações cruciais para a análise do comportamento da função.

Na economia, a derivada de raiz de pode ser utilizada na modelagem de funções de produção, onde o output é uma função radical do input (capital, trabalho). Também pode ser aplicada na análise de funções de custo, onde o custo é uma função radical da quantidade produzida. Em ambos os casos, a derivada permite determinar a produtividade marginal ou o custo marginal, respectivamente.

Um erro comum é esquecer a regra da cadeia ao derivar funções radicais compostas. Outro erro é a aplicação incorreta da regra da potência, especialmente ao lidar com expoentes fracionários. Para evitar esses erros, é fundamental identificar corretamente a função interna e aplicar a regra da cadeia de forma sistemática. Além disso, é importante revisar as regras de derivação e praticar a derivação de diversos exemplos.

Sim, em estatística, a derivada de raiz de pode surgir ao otimizar funções de verossimilhança que envolvem a raiz quadrada de variâncias ou desvios padrões. Nesses casos, a derivada é usada para encontrar os estimadores de máxima verossimilhança dos parâmetros do modelo estatístico.

Em ciência da computação, a análise de complexidade de algoritmos pode, em alguns casos, envolver funções radicais para expressar o tempo de execução ou o uso de memória. A derivada da raiz pode ser usada para analisar a taxa de crescimento dessa complexidade à medida que o tamanho da entrada aumenta, auxiliando na otimização do algoritmo.

Em suma, a derivada de raiz de constitui uma ferramenta fundamental no cálculo diferencial, com aplicações significativas em diversas áreas do conhecimento. Sua compreensão teórica e prática é essencial para a modelagem, otimização e análise de fenômenos complexos. O estudo aprofundado das técnicas de derivação de funções radicais, bem como a exploração de suas aplicações em diferentes contextos, representa uma área promissora para futuras pesquisas e desenvolvimentos.

Author

Louris

Movido por uma paixão verdadeira pelo universo escolar, construo minha trajetória profissional com a missão de favorecer o desenvolvimento pleno de cada estudante. Procuro integrar domínio técnico e sensibilidade humana em práticas pedagógicas que reconhecem e valorizam a singularidade de cada pessoa. Minha formação em instituições renomadas, aliada a anos de experiência em sala de aula, me permite elaborar caminhos de aprendizagem baseados em vínculos genuínos e na promoção da expressão criativa. - ns2-ind.poppydesignstudio.com.